MP6540内部的电流检测电路在下管导通时检测每相的电流,然后输出固定比例的电流值,MP6540的比例系数是1/9200,所以检测电路输出电流Iso与实际相电流Iload的关系为:
Iso=Iload/9200。
采样电路的偏置参考电压可以通过下面两个电路实现。
电路一:

Vsout= Vref + (Rref * Iload) / 9,200
例如:
Vref=2V,Rref=5k
当相电流Iload=1A时,Vsout=2+(5000 * 1)/9200=2.543V。
那么反过来,
当Vsout=2.8V时,实际的相电流Iload=(2.8-2)*9200/5000=1.472A
电路二:

Vsout=(Iso+(Vref-Vsout)/R1 )* R2
Iso=Iload/9200
通过上面两个公式可以得到:
Vsout=R1 * R2/(R1+R2) * Iload/9200+R2/(R1+R2) * Vref
例如:
Vref=3.3V,R1=R2=5k,Vsout=0.27 * Iload+1.65
当相电流Iload=1A,Vsout=1.92V
反过来,当Vsout=2.5V时,Iload=3.15A
4 个赞
您好,可以在第一幅图的Vsout后面加入RC滤波再进入单片机的ADC么?我加入了RC滤波发现电流采样的值不对了,是不是不能加呢?
如果加RC的话,推荐加多少阻值和容值呢?目前是200欧和20nf,截止频率约40KHz
朋友,你这问题,有图吗。猜不出你是咋接的呢!
我只能猜猜猜(我毕竟不知道你咋接的)
可以加,但不能随便加;现在“加了 RC 后电流采样值不对”,大概率不是“绝对不能加 RC”,而是 加法位置不对 / RC 参数过重 / 没考虑 SOx 口本质上是“电流输出节点” / ADC 采样保持电容又把节点拉偏了。
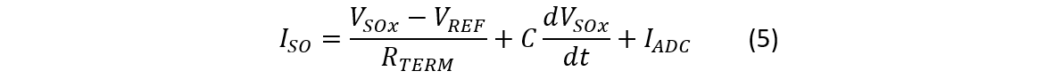
结合 MP6540 手册里的电流检测结构,这个口本质上是 SOA/SOB/SOC 输出一个与相电流成比例的电流,再用终端电阻把它变成电压,手册给出的基本关系是
并且推荐用两个等值电阻把 ADC 参考电源分成半量程作为零电流偏置。
可以加 RC
但推荐理解成:RTERM 是“电流转电压”的核心电阻,后面加的 RC 只能做 轻度抗噪 / 抗 PWM 尖峰 / 给 ADC 提供局部电荷;而不能把它做成一个很重的低通,把 SOx 当成普通低阻电压源来处理
现在的 200Ω + 20nF 这个组合
它的截止频率大约是:
这个数值本身没错;问题不在“40kHz 太低”本身,而更可能在于:
这个 200Ω 串在了错误位置,20nF 直接挂在 SOx 电流输出节点上了,而ADC 采样瞬间从该节点抽电荷,和前面的高阻/电流源结构打架,软件仍按未滤波时的时序去采样,测的是 PWM 斩波电流,但 RC 已经把波形平均化了。
为什么“加 RC 后数值会不对”
这个要分清 SOx 节点到底是什么;MP6540 不是给你一个强驱动电压输出,而是给你一个 比例电流输出。手册明确说 current sense output 是按比例 source/sink 电流,外接终端电阻把它变成给 ADC 用的电压。
所以第一种电路的本质其实是:
此时:

这意味着:
如果把电容直接并在 SOx 上
那这个电流源就必须不断给这个电容充放电:

于是节点不再只是“纯粹的电流×电阻”,而变成:

这就解释了为什么读者一加 RC,公式不再严格按原来那个线性关系走。尤其在 PWM 换相、续流、下管导通窗口切换时, 项会明显出现。
(还有别的原因,这个暂且不表)
正确的思路:RC 应该加在哪里?
先把 SOx 节点用 RTERM 正常变成电压,再在 去 ADC 的支路 做小隔离和小电容滤波:
这里:
RTERM:负责建立正确的电流-电压关系
Riso + C:只是在“送 ADC 之前”做一个轻微低通,并隔离 ADC 采样电容反冲,ADC 看到的是滤波后的电压,但是SOx 本身仍主要由 RTERM 定义,这个结构比“直接在 SOx 上挂大电容”稳得多。
小结
每一个电路节点都有一些·参数来表征,他们天然的适合或者不适合做一些后处理;而对于采样这个操作来说,是源阻抗在作怪,在使用的时候一定注意,另外滤波器不是万能且完美的,使用的时候需要注意其带来的额外风险。—希望可以帮到你,YUNSWJ 敬上。
补一句:对于 MP6540 这类电流输出型检测口,更推荐在 ADC 前加一个“小串联电阻 + 小电容”的轻滤波网络,而不是 200Ω + 20nF 这种比较重的滤波。
感谢您的系统细致的答复!这是我的电路,和您推荐的接法应该是吻合的吧,我准备把RC换成20欧+2nf的组合再试一下。
实测后发现,20欧+2nf不行,采样的电流不对。改成2k欧+180pf是可以的,滤波的带宽是400KHz左右