紧接上一贴,这一贴从传递函数的层面来深入分析反激电路工作在CCM和DCM下的区别。
CCM下主电路的传递函数可以表示为:
其中,直流增益为(Ro为负载电阻,Rcs为电流采样电阻):

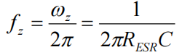
由输出滤波电容的等效串联电阻(RESR)产生的零点频率为(C为输出电容):

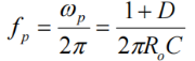
输出端引入的极点频率为:

可以看到在传递函数中存在右半平面零点,其与输入电压、负载和电感量有关,很难补偿,其频率为:

右半平面零点的波特图如下图所示,其增益曲线斜率为20dB/decade,但在相位上确表现为90°滞后。
如果用极点进行补偿(增益曲线斜率为-20dB/decade,相位为90°滞后),则总的增益为一直线(斜率为0),但相位已经滞后了180°,已经不满足稳定条件了。
下面来进行解析:当工作在CCM时,如果负载突然增加,负载电流会增加,输出电压下降,反馈环节会使占空比D增大,开关管导通时间增加、关断时间减少,下图中面积A为由于关断时间减少而减小的次级电流面积,面积B为由于导通时间增加而增大的次级电流面积。
由于负载电流完全由次级电流的平均值提供,这样输出的平均电流会减小,输出电压会下降,在电流图形上表现为A>B。简单来说,就是随着负载电流的增加,输出电压首先会下降的比较多,然后几个开关周期才能恢复过来。
输入电压越低,右半平面零点频率越低,因此低压输入时有不稳定倾向;同时满载条件下的右半平面零点低于轻载状态,因此满载时有不稳定倾向。
那么在DCM下,反激电路是否还存在右半平面零点?
答案是肯定的,但DCM下的右半平面零点远高于开关频率,因此无需理会,其传递函数可以等效为一阶系统。
也可以这么理解:DCM下在开关管关断时,变压器向负载释放能量,副边电流斜率为di/dt=V/L,与输出负载无关,这样就表现为内阻非常大,相当于一个电流源,故为一阶系统;
而CCM下,副边电流波形为一个梯形,其直流部分值与输出负载紧密相关,故为二阶系统。因此,设计反激电路时,应尽量让其工作在DCM状态下。