浅显易懂理解傅里叶变换

说起电子硬件专业,那不得不提的就是傅里叶变换了。

大学课程中应该吓倒了很多人,谈傅里叶色变了。

本次就来重新认识一下电子硬件中的傅里叶变化。

首先理解之前,当然是需要先知道傅里叶这位大牛的人物百科啦。

傅里叶是法国数学家,物理学家。曾推导出著名的热传导方程,并在求解的过程中发现了解函数可以由三角函数构成的级数形式表示。

1 个赞

从而提出了任一函数都可以变成三角函数的无穷级数。傅里叶变换等理论也是由此创始。

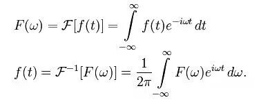
傅里叶变换的核心是从时域到频域的变换。理解这句话就理解了傅里叶变换。

1 个赞

将它拆分开来进行理解

时域是什么?

时域是描述一个数学函数或者物理信号与时间的关系,比如说位移与时间的关系(速度),做的总功与时间的关系(功率)等等。

很多物理量的定义都与时间有关,所以对于时域的理解会更加直观。

频域是什么?

频域就是描述频率所用到的空间或者说坐标系。比如说坐标系,通常横轴是频率,纵轴是该频率的幅度。

比如说一个波,频率就是它每秒钟波形重复的次数,某个频率下的振幅就是它频率的幅度。

最难理解的就是频域转时域,或时域转频域的转换关系了?他们是如何转换的?

频域是把时域波形通过傅里叶变换或者拉普拉斯变化,得到频域的表达式,所以可以得到频谱图,它是描述频率变换和幅度变化的关系。

比如说一个人的声音,从时域方面主要是两个参考因素,就是时间和振幅。如果要将声音放大,只需要使用放大器放大振幅即可。

但是要怎么将声音实现低音呢?

这就有点抽象复杂了,就如同家庭影音中的低音炮,它是怎么实现重低音的?

事实上,所谓的实现低音,就是将声音中的低音部分进行保留或者增强,突出低音的表现。

所以就需要用到低通滤波器(LPF,传递低频信号,衰减高频信号的滤波器),将低音部分的频率单独过滤出来,对这部分频率的波形通过时域频域转换,调整低音部分的振幅,从而实现“低音”的效果。

1 个赞