1.本征半导体的概念:
将半导体提纯到最高纯度,杂质降低,然后经过一定的工艺,让他们具有晶格结构,这样的单晶体就是本征半导体。
2.硅,锗,砷化镓的性质比较
本征载流子的含量:锗(25万亿),硅(150亿),砷化镓(170万)
自由电子运动的能力比较:砷化镓(8500),锗(3900),硅(1500)
3.正温度系数和负温度系数
导体:导体受热后,内部自由电子的运动不会增加很多,他们都在自己的位置上固定振动,使电子运动更加困难,所以导体的温度增加,电阻是增加的;
半导体,导体受热后,价电子吸收能力,打破共价键,内部的自由电子增多,具有更好的传导性。
4.N型材料
无论是哪种材料,呈现电中性,因为自由电子虽然在不断的移动,但是原子核中的质子和中子与电子具有一样的电荷;
在纯净的半导体中掺杂千分之一的杂质,就能改变材料的特性;
N型是掺杂5个价电子元素形成的。磷,锑,砷。
5个价电子的杂质原子称为施主原子;
在N型材料中,比较多的是自由电子,被称为多数载流子,比较少的是空穴,被称为少数载流子。
5.P型材料
P型是掺杂3个价电子的元素形成的,硼,镓,铟
3个价电子的杂质原子称为受主原子
在9型材料中,比较多的空穴,被称为多数载流子,比较少的是自由电子,被称为少数载流子
6.半导体材料分类
半导体材料主要有两种,单晶体和复合晶体。
单晶体的意思是一种纯材材料,硅,锗,与重复的晶体结构。
复合晶体的意思是材料有至少两种组成,砷化镓(GaAs),硫化镉(CdS),氮化镓(GaN),磷砷化镓(GaAsP)
7.锗材料
优点:锗材料比较常见,容易提炼到非常高的纯度,成本也非常低;
缺点:对温度比较敏感,温度稳定性较差。
8.硅材料
优点:硅材料稳定性相比锗要好,但是在早期,提炼纯度不好,在1954年晶体管做出来了,才迅速得到应用硅是世界上现存物质中,非常丰富的一种材料
缺点:发展到一定的程度,速率达不到。
9.砷化镓
砷化镓半导体制成的器件,速度比硅的要快,能提高5倍左右,但是砷化镓的提炼纯度很难做到很高,所以价格比较昂贵,但是在高速,大规模电路里面使用的比较多。
10.原子
原子主要由三种粒子组成,质子,中子,电子。中子和质子构成原子核,电子围绕原子核在固定的轨道运动
11.偏置
偏置是指为了得到一定的响应而在设备的两个终端之间外加的电压.
12.扩散运动
物质总是从浓度高的地方向浓度低的地方运动,这种由于浓度差而产生的运动称为扩散运动。
13.漂移运动
在电场力作用下,载流子的运动称为漂移运 动。当空间电荷区形成后,在内电场作用下,少子产生漂移运动,空穴从N 区向 P 区运动,而自由电子从P 区向N 区运动。
14.肖克利方程
![]()
其中,IS是反向饱和电流,Vd是加在二极管两端的电压,n取1~2,工作条件和物理结构的函数,VT是热电压。
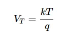
15.热电压

其中k是玻尔兹曼常数,为1.38x10-23J/K,T是热力学温度,为273+摄氏度(℃)值,q是电子的电荷量,为1.69x10-19C。在温度为27℃时,热电压为26mV。
16.拐点电压
锗0.3V,硅0.7V,砷化镓1.2V
17.击穿电压
锗典型是100,最大是400V;
硅和砷化镓,50~1KV
18.二极管的电阻水平
在拐点及拐点以下的直流电阻级别比曲线垂直上升区域的电阻大,反偏区域的电阻会更高。
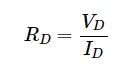
19.直流电阻
曲线上某一点,电压的值与电流值的比值就是直流电阻

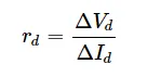
20.交流或动态电阻
曲线上某一点的斜率是动态电阻
