LDO的核心工作原理是通过内部的功率器件,如PMOS或PNP将输入电压调整到所需的输出电压。调整过程中,输入与输出电压差乘以负载电流会产生功率损耗PD,几乎全部转化为热量。如果这些热量无法有效散出,稳压器的结温TJ将升高,可能超过datasheet规定的最大结温如125°C,从而影响器件可靠性,甚至导致永久性损坏。
热管理不仅是选择合适封装的问题,还涉及电路板设计、散热条件以及不同厂商的规格差异等多个方面。以下总结了LDO电路设计选型时需要关注的三大因素。
LDO的核心工作原理是通过内部的功率器件,如PMOS或PNP将输入电压调整到所需的输出电压。调整过程中,输入与输出电压差乘以负载电流会产生功率损耗PD,几乎全部转化为热量。如果这些热量无法有效散出,稳压器的结温TJ将升高,可能超过datasheet规定的最大结温如125°C,从而影响器件可靠性,甚至导致永久性损坏。
热管理不仅是选择合适封装的问题,还涉及电路板设计、散热条件以及不同厂商的规格差异等多个方面。以下总结了LDO电路设计选型时需要关注的三大因素。
1. 不同厂商的热参数差异
不同厂商在提供LDO数据手册时,对热阻参数如θ_JA,结到环境的热阻的定义和测试条件可能存在显著差异。例如,TI的PowerPAD封装通过增加铜箔面积显著降低了θJA,而其他厂商可能基于不同的电路板层数、铜箔厚度或气流条件来标示热阻。这意味着,即便两款稳压器看似规格相似,其实际热性能可能大相径庭。
此外,厂商在测试θJA时可能假设不同的散热条件(如是否有强制气流(也就是风扇散热)、PCB铜箔面积等)。如果工程师直接拿来数据手册中的θJA值进行比较,而忽略测试条件的差异,可能导致错误的器件选择。
那我们该如何应对呢?
查阅数据手册:仔细阅读数据手册中的热参数测试条件,尤其是PCB设计(如单层或多层、铜箔覆盖率)和气流条件(0 CFM或250 CFM)。
参考JEDEC标准:JEDEC标准(如JESD51)提供了统一的热阻测试方法,优先选择符合该标准的厂商数据,毕竟标准统一,方便我们后期设计。
实际测试验证:这一部一般也少不了,比如使用热成像仪或温度传感器验证实际结温,确认是否符合预期。
2. 理论计算不符但器件正常工作
有时,硬件工程师按照热方程(θJA = (TJ(max) - TA) / PD)计算后,发现器件似乎无法满足热要求,但实际测试中器件却能正常工作。这是啥原因呢?
这是啥原因呢?推测的话呢可能有以下原因:
1.厂商提供的数据手册通常基于最坏情况(如无气流、单层PCB),而实际应用中的散热条件可能更好,如多层板或额外散热片。
2.实际应用中的气流、散热片的热传导可能改善了散热效果。
举个例子,假设我们使用1.8V输出,100mA稳压器,输入电压为5V,环境温度TA=70°C,最大结温TJ(max)=125°C。我们需要判断其SOT-23封装是否满足热要求。
首先计算功率损耗: PD = (VI - VO) × IO = (5 - 1.8) × 0.1 = 0.32 W
计算所需热阻: θJA = (TJ(max) - TA) / PD = (125 - 70) / 0.32 ≈ 171.875 °C/W
如果此时数据手册SOT-23封装在无气流条件下的θJA为200°C/W,高于计算所需的171.875°C/W,那么理论上是不满足要求的。但是在实际电路中,PCB可能有多层铜箔或轻微气流,导致实际θJA低于200°C/W。假设实际θJA降至150°C/W,重新计算结温: TJ = TA + PD × θJA = 70 + 0.32 × 150 = 118 °C 此时,TJ < 125°C,器件可以正常工作。
所以通过增加铜箔面积或使用多层板可显著降低θJA。所以温升能不能行,在样机阶段,还是要使用热电偶或红外测温仪验证实际结温,仅依赖理论计算还是不太全面的。
3.降额设计
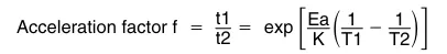
降额设计是指将器件的工作条件控制在低于其绝对最大额定值,以提高可靠性和寿命。通过Arrhenius模型说明,降低结温可以显著延长器件寿命。例如,降低10°C的结温,平均无故障时间MTBF可翻倍
为了方便大家理解,再给大家举个例子;假设一款LDO的最大结温为125°C(398K),我们将其降额到115°C(388K),激活能Ea=0.9 eV,计算MTBF的变化:
f = exp [ 0.9 / (8.6 × 10⁻⁵) × (1/388 - 1/398) ] = exp [ 10465.12 × (0.002577 - 0.002513) ] ≈ exp(0.669) ≈ 1.952 MTBF提高约1.95倍,接近翻倍。
在高可靠性应用中,建议将结温控制在最大额定值的80%-90%。降额可能需要更大封装或额外散热措施,那么就需在成本与可靠性间找到平衡。有些LDO规格书会给推荐的降额曲线,也可以参考。