请教个HR1001参数计算问题

自己团队主要是做嵌入式开发为主,对电源不太懂,现在有个类似换电柜电源的方案要做,就是输出电压可调的,功率1000W,看了类似产品是用的UCC28180(PFC)+HR1001A的方案。所以我们也打算用这个组合,现有几个问题请教:

前面PFC输出为:DC390V

我后面LLC要求1000W输出:DC27.6——DC90V,最优工作点在55V@18A

请大神帮我算算Lr、变压器、Cr的参数

万分感谢!

1 个赞

有人比我先算出来踢我一下 :cat_with_wry_smile:

我大概算了一下,因为你的PFC电压是固定的,半桥LLC在低输出电压时所需增益小于最小增益,实现起来比较困难,除非让LLC工作在容性区,也就是开关频率低于谐振频率,而且增益得大于1,但那样干又会失去软开关的功能,可以考虑用全桥来做会好点,如果一定要用半桥来做,因为要确保90V输出,K值是比较小,但是这样效率会比较低,到时候你散热需要重点考虑一下,下面是按你选的方案算的一版参数:
匝比:3.3 : 1
谐振频率:100KHz
K值:4
谐振电感:15uH
励磁电感:60uH
谐振电容:168 nF

1 个赞

先把设计前提说清楚(我这里做的假设)

你现在的条件:

PFC:UCC28180,输出 ≈390V DC 母线

LLC:HR1001A 半桥 LLC

目标输出:

电压范围:27.6–90V

最优工作点:55V @ 18A ≈ 1kW(我们按这个点做“标称设计”)

我这边默认拓扑

半桥 LLC(HR1001A 自带高边驱动),输入母线 390V

变压器次级:中心抽头全波整流 + 输出电感 + 输出电容(标准 LLC 做法)

在“标称点”:

Vin = 390V

Vout = 55V / 1kW

开关频率 fs_nom = fr**(谐振频率)**

f_r 取 100kHz(1kW 这个级别比较常见,磁件尺寸可控,损耗也还好)

设计参数选型:

质量因子:Q_nom ≈ 0.6(中等 Q,效率和调节范围比较平衡)

磁化比:k = Lm / Lr ≈ 5(典型 LLC 设计区间 3~8 里取一个中间值)

输出要从 27.6V 拉到 90V,范围比较宽(约 3.3:1),
正常 LLC 比较舒服的是 ≈2:1 左右,所以这里的设计默认:

1kW 核心工作点 在 55V;两端 27.6V / 90V 主要靠调频和负载变化,不强求两端都是 1kW 满功率;真要全范围 1kW,要配合增程(比如二次 Buck)或者多模控制,会复杂不少。

下面是按上述前提算出来的一套“第一版参数”。

先算变压器匝比 n

半桥 LLC 的基波近似

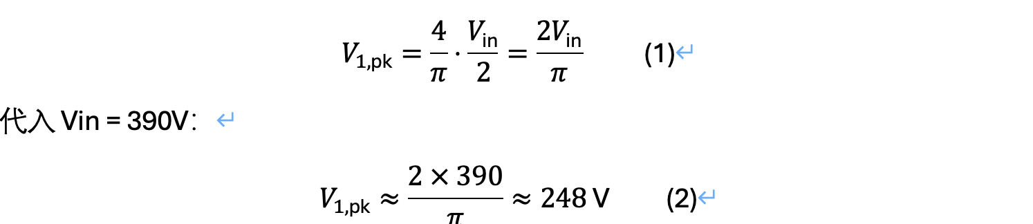
半桥 LLC 原边看到的是一个 ±Vin/2 的方波:

Vin = 390V

半桥方波幅度 = Vin/2 = 195V

它的基波正弦分量幅值(峰值):

次级整流后的 DC 输出(基波 + 续流电感模式)

对 LLC 这种:变压器次级 全波整流 → 输出电感 → 电容 的结构,在所谓“电感滤波、连续电流”下,平均输出电压近似为:



举例:

如果原边绕 42 ,每个次边(中心抽头的“一半”)绕 15 :[image]这是一个很实用的起点。

这个匝比是在 fr=100kHz 时、Vin ≈390V 、Vout ≈55V 下, 让 LLC 的“基波传递增益”在谐振点附近≈1。

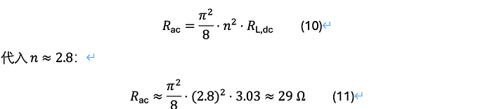
等效负载、电阻 R_ac

在 LLC 设计里,经常需要用“等效 AC 负载”R_ac:


标称 55V / 1kW:

对于“次级全波整流 + 输出电感连续”的情况,
变换到原边的 等效 AC 电阻 可写成(用 RMS 方式推导):

这个 R_ac ≈ 29Ω 就是谐振支路在标称点“看到的负载”。

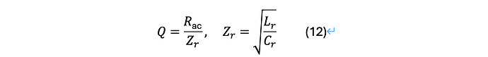
选质量因子 Q、算特性阻抗 Zr、Lr、Cr

质量因子 Q 选择

定义:


经验上:

1kW / 400V LLC 常见 Q ≈ 0.4 ~ 0.8

Q 太小:波形硬、环路急躁;

Q 太大:电流大,损耗高。

我们取一个折中:

Q_nom = 0.6

于是:

谐振频率 fr 选择

现在假设你愿意把 fr 定在 100kHz

3.3 由 Zr 和 ωr 解出 Lr、Cr

对串联谐振支路,有:


第一版谐振参数:

Lr ≈ 75–80 µH (独立电感,或者部分由变压器漏感贡献)

Cr ≈ 33 nF (可以多个并联,降低 ESR/ESL)

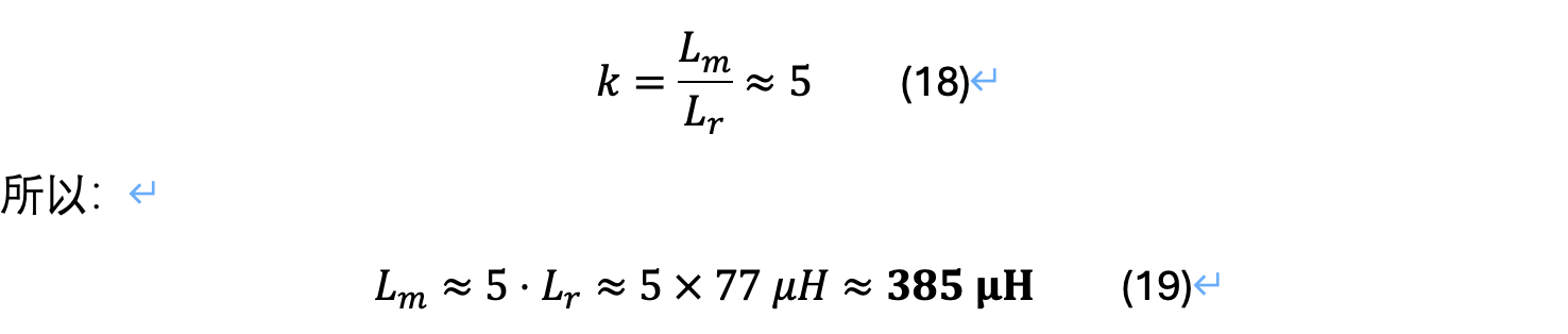
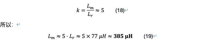
磁化电感 Lm 的选择

我们设定的磁化比:


检查一下磁化电流是否合理:
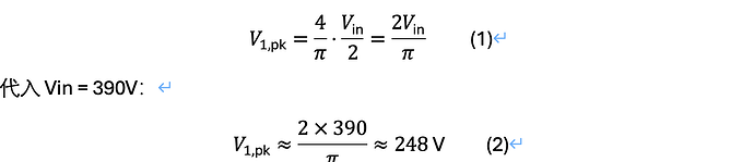
原边基波峰值 V_(1,“pk” )≈248" V"
磁化支路在谐振点附近主要是感性,基波磁化电流峰值近似:

对 1kW 等级来说,1A 级别的磁化电流是很合理的
不会太大浪费损耗,又能给 LLC 提供一定“抗容性”的缓冲。

磁化电感目标:Lm ≈ 350–400 µH

工程上通常是:

用变压器本身的励磁电感来实现 Lm;Lr 则靠外置电感 + 有意设计的漏感一起实现。

电流量级 & 磁件大致压力

谐振支路电流

谐振点、标称点下,
原边基波电压 RMS:


所以:

Lr 、Cr 、原边绕组 都要按 ≥ 8~10A 峰值电流 来设计(留余量)(Lr 需要选合适磁芯和气隙,保证 不在这个电流下饱和 。)

变压器匝数

有了 Lm ≈ 385µH、匝比 n ≈ 2.8,你可以这样估个绕组:

选个高频功率磁芯(比如 E65、ETD49 级别,实际要看厂家的推荐 1kW 级别 LLC 样本)。

假设每匝电感约 **AL ≈ 2 µH/**匝² (举个量级,实际要查数据手册)。
那:


如果 AL 不同,匝数会有调整,你可以通过留气隙来修正 Lm;1kW 实际上匝数会更多一点(比如 20~40 匝),取决于你选择的磁芯和 B_max 要求。

匝比 n ≈ Np/Ns ≈ 2.8:若暂时用 Np=42 匝,则 Ns 单边 ≈ 15 匝 这种数量级;后续根据磁芯窗口、铜损再细调。

整体参数小结

在上面的假设前提下,可以先按下面这一套做 PCB / 样机:

变压器匝比

Vin ≈ 390V,Vout_nom = 55V

半桥 LLC,谐振点工作

原边 : 次边单边 ≈ 2.8~3 : 1

示意:Np ≈ 40 匝,Ns(每半)≈ 14~15 匝(具体看磁芯 AL 和 Bmax 再调)

谐振支路

目标谐振频率:fr ≈ 100kHz

质量因子:Q_nom ≈ 0.6

等效负载:R_ac ≈ 29Ω

特性阻抗:Zr ≈ 48Ω

Lr ≈ 75–80 µH

Cr ≈ 33 nF(可以分成 3×10nF 并联)

磁化电感

磁化比:k = Lm/Lr ≈ 5

Lm ≈ 350–400 µH(用变压器励磁实现)

电流参考

谐振电流:约 Ir_rms ≈ 6A**,Ir_pk ≈ 8.5A**

磁化电流峰值:约 1A