硬件工程师在设计DC-DC开关电源设电路时,常常挂在嘴边的一条黄金法则是:提高开关频率,可以减小电感和电容的尺寸。 这条法则几乎已成为所有搞电源的共识了。但其背后的原因是什么?为什么简单的频率提升,就能带来电感显著的体积缩小呢?接下来就聊聊这个问题。
要理解这个关系,我们必须回归到电感在DC-DC电路中的核心作用:能量的存储与传递。无论是Buck、Boost还是Buck-Boost电路,电感都在开关管导通时存储能量,在开关管关断时释放能量,通过这种方式平滑电流,实现电压的转换。
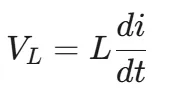
那最基础的公式就是:

其中,VL是施加在电感两端的电压,L是电感值,di/dt是电流随时间的变化率。
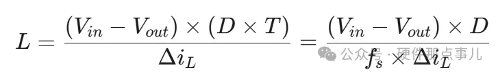
以Buck为例,在开关管导通的Ton期间,施加在电感上的电压VL为Vin-Vout。电感电流从谷值线性上升到峰值。那么电流的上升量为:

举个例子,当DCDC低频工作时,相当于你每分钟(周期比较长)才有一次机会往桶里加水。为了在一次长时间的加水过程中,让水位(也就是电流)的波动不至于太大,你需要一个很大很深的桶(也就是大电感)。
反过来高频工作时相当于你每秒钟(周期比较短)就有好几次机会往桶里加水。每次加水的时间非常短,即使加水速度不变,水位的上升量(纹波电流)也很小。因此,你只需要一个很小很浅的桶(小电感)就能维持水位的相对稳定。
电感的物理尺寸主要由其储能能力和绕线决定。电感的储能公式为 =LIpeakIpeak/2。在电流基本不变的情况下,所需的电感量L减小,意味着可以用更少的线圈匝数和更小的磁芯来满足设计需求。更少的匝数意味着更短的铜线,从而降低直流电阻,减少导通损耗。更小的磁芯则直接带来了体积的缩减。
“频率越高,电感越小”意味着提高频率缩短了每次对电感进行充能和放能的时间周期。在固定的电压和期望的电流纹波下,更短的作用时间自然就允许使用更小的电感值,更小的电感值带来更小的电感体积。




