在DC-DC BUCK电路的设计中,电感的选型很关键。直觉上,大家可能会认为,更大的负载电流意味着需要处理更大的功率,那这样是不是理应需要一个更强大——也就是感值更大——的电感呢?然而,正确的答案看起来有悖常理:负载电流越大,所需的电感值反而越小。接下来我们就以BUCK电路为例分析一下这个问题。
关键设计参数1:纹波电流ΔiL
我们首先回顾一下BUCK电路中电感电流的基本关系。在稳定工作状态下,电感两端的"伏秒平衡"原则要求在一个开关周期内,其电流的上升量和下降量必须相等。这个变化量就是电感纹波电流的峰峰值ΔiL。
关键设计参数2:电流纹波率r
之前的文章我们介绍了电流纹波率r的概念,r存在的意义是为了在不同的负载条件下都能对电源设计进行一致性的评估和优化电源性能。

其中,Iout是指输出的直流负载电流,也等于电感的直流平均电流IDC。
我们在设计一个BUCK电源之前通常要预先设定一个目标纹波率r。例如,r=0.4是一个常见的经验值。这意味着,我们希望电感纹波电流的峰峰值始终是直流输出电流的40%。这个保持r值恒定的设计理念,是理解负载电流与电感值关系的关键所在。
负载电流变化如何影响电感值?我们通过一个具体的计算案例来分析一下吧。
假设设计参数设定如下:
输入电压Vin=12V
输出电压Vout=3.3V
开关频率fs=300kHz
目标电流纹波率r=0.4
首先,计算占空比D:
D = Vout / Vin = 3.3V /12V = 0.275
轻负载条件
假设负载电流Iout1 = 1A。
1.计算期望的纹波电流ΔiL1:
为了维持r=0.4,我们期望的纹波电流为:

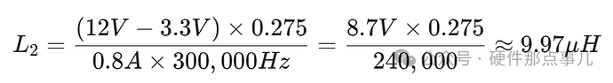
重负载条件
现在,我们将负载电流加倍,Iout2=2A,并保持其他所有设计目标,尤其是r=0.4不变。
1.计算期望的纹波电流ΔiL2:
为了继续维持r=0.4,新的期望纹波电流也必须加倍:
![]()
2.计算所需的电感值L2:
此时,电路的伏秒积(Vin-Vout)× D/fs 并没有改变,因为它仅由电压和频率决定。为了让纹波电流ΔiL从0.4A增大到0.8A,唯一的方法就是减小电感L。
通过计算我们清晰地看到,L2≈L1/2。
当负载电流加倍时,尽管所需的电感值减半了,但峰值电流也相应加倍,导致其需要处理的峰值能量同样加倍了。更大的能量需求意味着需要更大的磁芯体积来避免磁饱和,同时,更大的直流和峰值电流也需要更粗的铜线来减小损耗和温升。因此,电感的尺寸最终与负载电流成正比。




