在电路设计中,振荡电路就是电路的心跳。无论是为MCU提供稳定时钟,还是为无线通信生成高频载波,振荡电路都是灵魂。今天我们就结合仿真聊聊LC振荡电路。LC振荡电路的核心是一个由电感L和电容C组成的谐振回路,我们可以从单摆现象来理解其振荡的本质。
高中物理课本上肯定写过,一个没有摩擦力的单摆。当我们将摆锤拉到最高点时,它拥有了最大的势能。放手后,势能转化为动能,摆锤加速冲向最低点,此时速度最快,动能最大。越过最低点后,动能又重新转化为势能,直到摆锤到达另一侧的最高点。如此周而复始,能量在势能和动能之间不断转换,形成了稳定的振荡。
LC振荡的原理和单摆原理非常类似:
电能->磁能:假设电容C已充满电,两端电压达到最大值。此时,电路中所有的能量都以电场能的形式储存在电容中。当电容开始通过电感L放电时,电流逐渐增大,在电感周围建立了磁场,能量开始以磁场能的形式储存在电感中。
磁能->电能:当电容完全放电后,电压降为零,但此时电流达到了最大值,所有的能量都转化为了磁场能储存在电感中。由于电流不能突变,电感会抵抗电流的减小,其自身产生的感应电动势会继续为电容反向充电。磁场能又开始重新转化为电场能。
当电容被反向充电至最大电压后,电流降为零,能量再次全部以电场能的形式储存。随后,电容再次通过电感向反方向放电,重复上述过程。
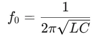
这种电能与磁能之间无休止的“舞蹈”,便构成了LC回路的自然谐振。其振荡的频率,即谐振频率:

在很多电路中,我们期望信号能稳定地工作。然而,电路板上无处不在的寄生电感,比如来自长走线、元件引脚,和寄生电容像来自器件结电容、PCB层间电容会意外地形成寄生LC谐振回路。在特定的增益和反馈路径下,就会导致电路产生不期望的寄生振荡。
抑制振荡就是从振荡产生的两个条件:增益+反馈入手。
方法一:增加阻尼,破坏增益条件
最直接的方法是向寄生LC回路中引入损耗,使其环路增益远小于1。
串联阻尼电阻:在关键路径上串联一个小电阻,几欧姆到几十欧姆,可以有效地增加振荡摩擦力。例如,我们之前讲过的在运算放大器的输出端串联一个电阻,可以有效隔离输出级与容性负载,抑制振荡。又比如我们常见的在开关电源的门极驱动路径串联电阻,可以抑制MOSFET开关瞬间的振铃。
使用磁珠:磁珠你可以理解成是一种频率敏感的智能电阻。它在低频时呈现很低的阻抗,几乎不影响正常信号,但在高频。也就是寄生振荡发生的频段时,它会变得具有很强的阻性,能高效地吸收并耗散掉高频振荡能量,这玩意常用于电源滤波和高速信号线中。
方法二:优化布局,切断反馈路径
这是预防寄生振荡最根本、最有效的手段,它的目标是切断意外形成的正反馈路径。
电源退耦:在每个有源器件的电源引脚处,尽可能近地放置一个或多个旁路电容,通常是100nF和1μF的组合。这些电容为高频噪声提供了到地的低阻抗路径,防止噪声通过电源轨在不同电路模块间传播,形成反馈。
可靠的接地:使用大面积的接地平面为所有信号提供了稳定、低阻抗的返回路径,能有效避免地弹和因共地阻抗形成的反馈回路。
信号走线最短原则:保持信号走线,特别是高频或敏感信号尽可能短,以减小寄生电感。同时,将输入和输出、模拟和数字、大功率和小信号区域在PCB板子上地分开,做好PCB分区布局,避免这些区域之间发生电容或电感耦合。







