寒冷冬季古早论文暖人心!今天就向论坛的坛友们分享一篇1997 的 IEEE 论文!
法国的数学是和俄罗斯比肩的存在,嘎嘎硬,先贴上一篇大佬镇楼。
至于为什么我要写这个,是因为这个文章在数学层面证明了一些测量的极限:
我先通俗的解读一下,然后再展开证明。这篇论文的数学不是“为了算而算”,而是把“直流/低频测量到底受什么限制、该测多久、该不该平均、平均有没有用”这些工程决策问题,变成可计算、可验证的规则。
寒冷冬季古早论文暖人心!今天就向论坛的坛友们分享一篇1997 的 IEEE 论文!
法国的数学是和俄罗斯比肩的存在,嘎嘎硬,先贴上一篇大佬镇楼。
至于为什么我要写这个,是因为这个文章在数学层面证明了一些测量的极限:
当在测 nV~µV 级直流或低频信号时:看到的波动,到底是
仪器本身的噪声?你的滤波/积分方式?环境周期干扰?1/f 漂移?温度系数?还是“平均方法用错了”?可贵之处就是在于这篇论文的数学 = 一套“判责工具”。
告诉仪器“真正的有效带宽 B”是多少?
不是手册写的,也不是设置的 PLC / filter 档位,而是 实际对噪声起作用的 ENBW,通过公式:
仪器要测多久才有用?
论文给出的关键结果:

只要低频是白噪声 ,最终均值精度 只取决于:低频噪声密度 和总测量时间 ,与怎么调滤波器、PLC、积分次数无关。
如果已经在白噪声区,再“调慢读数 / 加大平均 / 调更窄带宽”,不会让最终结果更准,只会等得更久。这对任何“长期稳定性测量”都是颠覆性的结论。
论文给出一个非常实用的判据:
如果在Gxx (f)的频段内, 是常数(白噪声),那这些数据来自同一统计总体,可以直接平均。
否则会出现 1/f,出现低频峰,出现漂移,那这个时候直接平均 = 自欺欺人 ,这比“看时间曲线抖不抖”可靠得多。
通过 PSD 形态可以分辨:
| 频谱形态 | 含义 |
|---|---|
| 平坦 | 白噪声(仪器/热噪声极限) |
| 漂移、温度、参考源本征 | |
| 窄峰 | 工频 / 空调 / 周期扰动 |
| roll-off | 滤波器 / 积分行为 |
论文用这一方法证明 标准电池几乎没有低频噪声,证明 Zener 基准的低频噪声显著 ,最终定位出 温度系数是根因。
低频性能不是一个数值,而是一条谱。这直接否定了:“这颗基准噪声是 1 µVpp”,“这台 ADC 很稳,看起来不漂”这些说法。**真正决定能不能用的是:**在你关心的频段内,PSD 是不是白的,1/f 拐点在哪里。
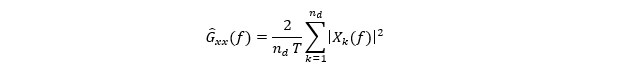
在证明前会用标准信号处理记号重写一遍,但含义与论文一致。 先统一记号
论文按 Bendat & Piersol 的方法:把长数据切成 n_d 段(records),每段长度 T,对每段做有限时长傅里叶变换,然后对“段功率谱”取平均得到 PSD 估计,可以把式(1)理解为下面这种形式(等价的):

Xk (f):第 k 段数据在区间长度 T 上的有限傅里叶变换(单位:V·s);前面的 2/T 来自单边谱的约定(把负频率能量折算到正频率)。
每一段给一个 noisy 的谱估计;对多段平均能降低谱估计的随机波动(方差);其中低频分辨率由 T 决定:最低频点大约是 1/T。这就是为什么作者关心到 5 mHz,需要记录到几百秒乃至小时量级。
要看更低频:加长 T(记录更久)。
要谱更平滑:增大段数 nd(更长总时间或更多重叠),论文里每个谱取 7 段平均。
论文式(2)说:PSD 与 的均方值(mean square)满足

把“频域的噪声密度”与“时域的 RMS/方差”直接连起来;如果 G_xx (f) 在某个频带里高,那说明该频带对时域方差贡献大,所以想降 RMS,不一定盲目加平均;先看是哪段频率在贡献能量,然后针对性滤波/隔离/建模。
单边/双边
双边 PSD(-∞ 到 +∞)与单边 PSD(0 到 +∞)差一个 2 的约定,论文在式(1)已明确使用“one-sided PSD”。
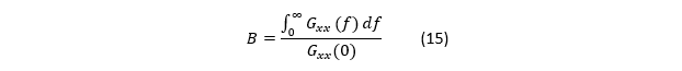
论文定义“噪声谱带宽”:

其中 Gxx (0) 是 PSD 在零频附近的极限值(白噪声平台高度)。
为什么这是“带宽”?
如果输入是白噪声:Gxx (f)=G0(常数),经过一个低通系统后,输出 PSD 变成 G0 |H(f)|^2,那么输出均方值:

而式(3)做的正是把这个积分“等效”为一个矩形低通:高度 G_xx (0)=G_0,宽度 B;所以 B 就是等效噪声带宽(ENBW)。
论文用理想电阻的热噪声作为已知输入 PSD:
![]()
这构造了一个“平坦、可计算”的噪声源,用来测纳伏表的频率响应与带宽。
为什么能反推出仪器频响?
把纳伏表视作线性系统 H(f)(包含模拟/数字滤波、积分等):
![]()
论文在式(1)后面就给了这个关系(输入 PSD、输出 PSD 与传递函数的关系)。
因此:
![]()
这样就能从测得的输出 PSD 直接得到 H(f) 的形状(至少是幅度平方),再进一步求 ENBW,这也是作者先接 1300 Ω 电阻做“基础构造”的原因。
“1/B 的测量时间”从哪里来?(统计独立性与白噪声假设)
论文在图1后面给了一个非常实用的结论:要让测量结果“像来自同一统计总体”,测量/平均时间需要至少到 ∼1/B 的量级,因为这是仪器等效滤波的 settling/相关时间尺度。
更细一点:作者引用更严格的处理指出,在白噪声且采样率远大于带宽时,时间间隔约 1/(2B) 的样本近似不相关;低通滤波器会让相邻读数相关;相关长度约等于滤波器脉冲响应的“有效长度”,而 ENBW 与这个时间尺度互为倒数关系(粗略来说)。
式(4):均值的标准差 σm 与 Gxx (0)、测量时间 T 的关系
论文给出的“有趣结果”:

在白噪声前提下:每个“独立样本”间隔约 1/(2B);总测量时间 T 内独立样本数约 N≈2BT;单次读数方差(输出方差)约 σ^2≈Gxx (0) B(来自式(2)(3):白噪声平台 × ENBW);均值方差为 σm^2=σ^2/N≈(Gxx (0)B)/(2BT)=Gxx (0)/(2T)。
注意:这里B 被消掉了,这就是作者说“interesting result”的原因:
在白噪声极限下,把滤波器调得更窄(B 更小)会让单次读数更稳,但同时独立样本来得更慢;两者抵消后,最终均值不确定度只取决于 G_xx (0) 与总时间 T。
如果确认低频段是白噪声平台(Gxx (f) 常数),那就要把均值标准差降一半,就需要把总测量时间增大 4 倍(因为 σm∝1/√T);调滤波档位(改变 B)对“最终均值精度”未必有用,它更多影响的是“读数更新率与瞬时波动”。真正决定均值精度的,是低频白噪声平台高度 Gxx (0)(也就是系统底噪密度)。
式(4)只在以下条件成立时才可靠:低频是白噪声(无明显 1/f、漂移、温度循环峰);采样率远高于带宽;系统近似线性、稳态。
若存在漂移/1/f,作者也明确说要用极性反转或漂移模型修正,否则“直接平均”会错。 (这一看就散会)

作者最终用回归拟合得出温度相关性,并给两种自变量:
![]()
即“线性 + 二次项”。
![]()
同样是二次形式。
为什么要两个温度?外部温度不一定等于基准内部关键节点温度;而且内部热敏电阻更接近“器件真正温度状态”,所以作者在结论里建议高要求场景用内部热敏电阻来校正。
明确要的指标(选一个)
瞬时读数标准差 (“抖动有多大”)
均值不确定度 σmean(“平均后有多准”)
低频噪声形态:白噪声/1/f/周期峰/漂移
明确频率范围(例如 10 Hz–5 mHz 对应 0.1 s–数小时量级)。
这是论文强调的关键顺序:先把纳伏表/采集链路的 实际带宽与滤波行为测出来,再去解释基准或样品的谱。
建立输入(任选其一,优先从简单到严格)
短路输入(看自噪)
高稳定电阻 R**(热噪声标定)**:电阻热噪声 PSD 近似常数,用来反推频响与带宽(论文用 1300 Ω)。
记录数据,时间戳 + 电压值(建议同时记录温度或内部热敏电阻值,如果有);分析的时候做低频 PSD(分段/平均):用 Welch(分段 FFT + 平均)等价实现论文式(1)。
找出低频“白噪声平台”高度 (不要取第一个点;用低频若干点的中位数/均值更稳)。
用论文式(3)定义计算

这就是“等效噪声带宽”,用于把各种滤波/积分/统计功能统一到一个可比较参数上。
决定“该测多久 / 平均是否有效”
判断能不能直接平均:看你关心的低频区 G_xx (f) 是否近似常数(白噪声)。如果出现明显 1/f 或漂移,应先做漂移处理(反转极性、拟合漂移、温度回归),再谈平均。
若白噪声成立,用论文式(4)直接规划总时长 T:

这一步是“从谱直接推测量时间”的核心产出。
对 DUT(基准/参考源)的测量与归因
DUT 评估建议做“差分测量”:DUT–参考,用纳伏表读差值(论文就是这么做标准电池 vs Zener)。 若低频出现“疑似温度引起的 1/f 或低频峰”:记录外部温度 θ 或内部热敏电阻 R,做回归拟合 V(θ) 或 V(R)(论文式(5)(6)是二次模型),把温度项扣除后再看 PSD 是否变“白”。
不要把趋势/漂移当噪声:PSD 会被最低频点“撑大”。建议先 detrend(去线性趋势)并对比“去趋势前后 PSD”;PSD 的第一个频点往往最不可靠(窗口、有限时长、漂移都会污染);如果要到 mHz,记录时长必须是小时级(频率分辨率 Δf≈1/Tseg )。
Python 模板
下面代码完成:
Welch PSD(单边),估计 Gxx (0)(低频平台)
计算 ENBW B(式(3)离散积分)
用式(4)算 σmean或反算所需总时长 T
可选:去趋势、温度回归(线性/二次)
只需要把 t, x 换成你的数据(秒、伏)。
Estimated G0 (V^2/Hz): 5.0391599672716105e-17
Estimated ENBW B (Hz): 26.68274927928835
Sigma_mean for total time T (V): 3.415365594846628e-11
Time needed for target sigma_mean (s): 25.195799836358052 (~hours) 0.006998833287877237
import numpy as np
def detrend_linear(x: np.ndarray) -> np.ndarray:
"""Remove best-fit line to suppress drift leaking into lowest-frequency PSD bins."""
n = x.size
t = np.arange(n, dtype=float)
A = np.vstack([t, np.ones(n)]).T
k, b = np.linalg.lstsq(A, x, rcond=None)[0]
return x - (k * t + b)
def welch_psd_onesided(
x: np.ndarray,
fs: float,
nperseg: int,
noverlap: int,
window: str = "hann",
) -> tuple[np.ndarray, np.ndarray]:
"""
One-sided PSD estimate (V^2/Hz) using Welch averaging.
No scipy dependency; suitable for low-frequency work.
"""
x = np.asarray(x, dtype=float)
if noverlap >= nperseg:
raise ValueError("noverlap must be < nperseg")
step = nperseg - noverlap
if x.size < nperseg:
raise ValueError("x shorter than nperseg")
# Window
if window == "hann":
w = np.hanning(nperseg)
elif window == "rect":
w = np.ones(nperseg)
else:
raise ValueError("Unsupported window")
# Window normalization for PSD
U = (w**2).sum() # power normalization term
scale = 1.0 / (fs * U)
# Segment FFT accumulate
nseg = 1 + (x.size - nperseg) // step
acc = None
for i in range(nseg):
seg = x[i*step : i*step + nperseg]
seg = seg - seg.mean() # remove DC in each segment (helps low-f PSD robustness)
X = np.fft.rfft(seg * w)
Pxx = (np.abs(X) ** 2) * scale # two-sided folded into rfft bins (not yet one-sided correction)
if acc is None:
acc = Pxx
else:
acc += Pxx
Pxx = acc / nseg
f = np.fft.rfftfreq(nperseg, d=1.0/fs)
# Convert to one-sided PSD: double all bins except DC and Nyquist (if present)
if nperseg % 2 == 0:
# even: Nyquist bin exists at end
Pxx[1:-1] *= 2.0
else:
Pxx[1:] *= 2.0
return f, Pxx
def estimate_G0_from_lowband(f: np.ndarray, G: np.ndarray, f_lo: float, f_hi: float) -> float:
"""Estimate zero-frequency limit Gxx(0) using a low-frequency band median/mean."""
mask = (f >= f_lo) & (f <= f_hi) & np.isfinite(G)
if mask.sum() < 3:
raise ValueError("Not enough points in lowband to estimate G0")
# median is more robust against occasional peaks
return float(np.median(G[mask]))
def enbw_from_psd(f: np.ndarray, G: np.ndarray, G0: float, f_max: float | None = None) -> float:
"""
Compute B = integral(G df) / G0 using discrete trapezoidal integration.
Optionally integrate only up to f_max to avoid irrelevant high-frequency tails.
"""
if f_max is not None:
m = (f <= f_max)
f2, G2 = f[m], G[m]
else:
f2, G2 = f, G
area = float(np.trapz(G2, f2)) # V^2
return area / G0 # Hz
def sigma_mean_from_G0(G0: float, T_total: float) -> float:
"""Equation (4): sigma_mean = sqrt(G0 / (2T)) for white-noise regime."""
return float(np.sqrt(G0 / (2.0 * T_total)))
def required_T_for_sigma_mean(G0: float, sigma_mean_target: float) -> float:
"""Rearranged equation (4): T = G0 / (2 * sigma^2)."""
return float(G0 / (2.0 * sigma_mean_target**2))
def quad_regress(y: np.ndarray, x: np.ndarray) -> tuple[np.ndarray, np.ndarray]:
"""
Fit y = c0 + c1*(x-x0) + c2*(x-x0)^2 (like paper eq(5)/(6)).
Returns coeffs [c0, c1, c2] and fitted yhat.
"""
y = np.asarray(y, float)
x = np.asarray(x, float)
x0 = float(np.mean(x))
u = x - x0
A = np.vstack([np.ones_like(u), u, u**2]).T
c, *_ = np.linalg.lstsq(A, y, rcond=None)
yhat = A @ c
return c, yhat
# -------------------------
# Example usage (replace with your data)
# -------------------------
if __name__ == "__main__":
# Suppose you have evenly-sampled data:
fs = 1.0 # Hz (1 reading per second)
T_total = 6 * 3600 # 6 hours
N = int(fs * T_total)
t = np.arange(N) / fs
# Simulated signal: white noise + small 1/f-like drift component (for demo)
rng = np.random.default_rng(0)
x = 5e-9 * rng.standard_normal(N) # 5 nV rms white component
x += 50e-9 * np.sin(2*np.pi*(1/3600)*t) # 1-hour environmental cycle (peak)
# Optional: remove linear drift
x_d = detrend_linear(x)
# PSD
nperseg = 4096
noverlap = 2048
f, G = welch_psd_onesided(x_d, fs=fs, nperseg=nperseg, noverlap=noverlap)
# Estimate G0 in a low band that is ABOVE the very first bin and BELOW obvious roll-off
# You must choose these based on your PSD shape; below is a typical starting point.
G0 = estimate_G0_from_lowband(f, G, f_lo=2*(fs/nperseg), f_hi=0.02) # e.g., 2 bins to 0.02 Hz
# ENBW
B = enbw_from_psd(f, G, G0=G0, f_max=0.5) # integrate up to 0.5 Hz (adjust as needed)
# Mean uncertainty (white-noise regime)
sigma_m = sigma_mean_from_G0(G0, T_total=T_total)
print("Estimated G0 (V^2/Hz):", G0)
print("Estimated ENBW B (Hz):", B)
print("Sigma_mean for total time T (V):", sigma_m)
# If you have a target sigma_mean:
target = 1e-9 # 1 nV
T_need = required_T_for_sigma_mean(G0, target)
print("Time needed for target sigma_mean (s):", T_need, " (~hours)", T_need/3600)
fs:读数速率(例如 DMM/纳伏表 1 SPS、10 SPS)
nperseg:决定最低频点 Δf≈fs/nperseg(要到 mHz,就得大)
G0 的估计频带 (f_lo, f_hi):根据你 PSD 里“白噪声平台”所在区间选
这篇论文的数学价值在于:把“直流测量的玄学经验”,变成“可计算、可复现实验规则”。