今天教大家一步步推导如何根据不同的开关频率,科学地计算出所需的电感值,废话不多说,开干!
输入电压范围(Vin):8V~18V
额定输出电压(Vout):24V
最大负载电流(Io):1.5A
设定的电流纹波率(r):0.3(即纹波电流为平均电流的30%)
设置两种开关频率(fsw):(a)300kHz (b)1MHz
今天教大家一步步推导如何根据不同的开关频率,科学地计算出所需的电感值,废话不多说,开干!
额定输出电压(Vout):24V
最大负载电流(Io):1.5A
设定的电流纹波率(r):0.3(即纹波电流为平均电流的30%)
设置两种开关频率(fsw):(a)300kHz (b)1MHz
因为当输入电压Vin最低时:
1.此时占空比D最大:电路需要以最大的占空比工作,才能将最低的输入电压"泵"到设定的输出电压。
2.平均电感电流IL最大:升压电路的输入电流IL=Io/(1-D)。当D最大时,分母(1-D)最小,导致输入电流(即平均电感电流IL)达到最大值。
因此,我们以下的的所有计算都必须基于VIN(min)= 8V这一最严苛的条件来进行,以确保电感不会在最大负载时饱和。
接下来我们使用VIN(min)= 8V进行计算。
1.计算最大占空比(Dmax)升压电路的占空比公式(忽略二极管压降)为:


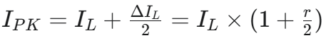
纹波电流峰峰值:

峰值电流:


这个IPK=5.175A是一个至关重要的参数,我们选择的电感,其饱和电流额定值必须大于5.175A,否则电感将在重载时饱和,导致电流失控,损坏芯片。
最后就是计算一下不同频率下的电感值,现在我们有了计算电感值所需的所有参数。电感值的核心计算公式如下,之前文章推导过,这里不赘述了: