在电源设计选型时,刚入行的硬件工程师们会很自然地认为一个标称5A的BUCK芯片,就应该能稳定地输出5A电流。然而,在实际的电路调试中,我们常常会发现,当负载真正拉到5A时,输出电压开始掉落,系统变得不稳定。
这是为什么?难道是芯片的虚假宣传吗?
答案是否定的。问题不在于芯片的标称值,而在于工程师是否深刻理解了5A这个数字背后的真正含义,以及平均电流与峰值电流之间的关键差异。接下来我们就聊聊这个问题。
我们需要明确两个基本概念:
1.输出电流(Io):这是负载需要的电流,是一个平均值(直流值)。在BUCK拓扑中,电感的平均电流I基本等于输出电流Io。
2.电感峰值电流(IPK):这是芯片真正"关心"的电流。BUCK芯片通过内部的开关管MOSFET工作,开关管在导通时,流过电感的电流是从一个谷值线性上升到一个峰值的。
目前很多芯片的电流限制功能是逐周期检测流过开关管的瞬时峰值电流。一旦这个峰值电流触碰到ICLIM阈值,芯片会立刻关断开关,以保护自身安全。如果我们的设计导致IPK轻易达到了ICLIM,芯片就会不断地触发保护,无法维持正常的占空比,导致输出电压跌落,自然也就无法提供稳定的5A平均电流。
峰值电流如何计算?
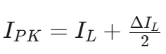
电感电流是在平均值IL上下波动的,这个波动的幅度就是纹波电流△IL。
电感峰值电流

电感谷值电流

这个公式是连接“平均”与“峰值”的桥梁。它告诉我们,峰值电流永远高于平均输出电流。
现在,我们打开一个5A BUCK芯片的数据手册,查看Electrical Characteristics中的Current Limit一项。我们会看到类似下表的规格:
注意!坑就在这里!
典型值 (6.3A):这是芯片的平均表现,这是没啥设计保证的。最大值 (8.1A):对硬件工程师来说不能说一无是处,那也是毫无用处。
最小值 (5.3A):这才是设计的红线。由于制造公差,我们拿到的任何一颗芯片,其电流限制阈值最低可能就是5.3A。一个靠谱的、可量产的设计,必须在最坏的情况下,即芯片的电流限制仅为5.3A时也能正常工作。
这个结果令人震惊:r ≤ 0.12 (即12%)。
这意味着,为了确保这颗"5A"芯片能可靠地输出5A电流,我们必须将电感的电流纹波率r设计得极低,低至12%!
有人说,那就设置成12%呗?你可能还不清楚这么干的后果!
在开关电源设计中,为了成本和尺寸的平衡,通常会将纹波率r设计在0.2到0.5之间,即20%~50%。低纹波率0.12意味着什么?根据电感公式:

小的r意味着极小的△IL,这会导致计算所需的电感值L变得非常大。
大电感的代价是啥?
1.物理尺寸巨大,在空间受限的PCB上无法接受。
2.成本高昂,磁芯更大。
3.动态响应变差,大电感对负载变化的响应更慢。
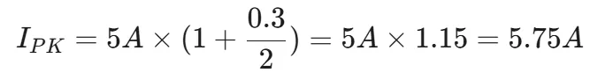
如果我们反过来,使用一个常规的30%纹波率来设计:

此时,IPK(5.75A)>ICLIM_MIN(5.3A)。这个设计在理论上已经失败了。它在室温下可能工作正常,因为芯片典型限流有6.5A,但一旦遇到高温或换个批次的芯片,就会立刻触发限流保护,导致输出失败。
回到最初的问题:5ABUCK能输出5A电流吗?
答案是:可以,但代价高昂,且极不推荐。
一个专业的工程师绝不会让设计工作在规格的"悬崖边缘"。正确的做法是:
1.确定你的设计指标:例如,需要输出5A电流,并希望使用合理的30%纹波率(r=0.3)。
2.计算所需的最小峰值
![]()
3. 留足设计余量:考虑到瞬态过冲和各种不确定性,我们至少需要20%的余量。
![]()
4. 反向选择芯片,我们应该去寻找一款其最小电流限制ICLIM_MIN大于6.9A的BUCK芯片。这样的芯片,其典型值可能在8A或9A,数据手册的标题可能会叫8A BUCK芯片。
总结就是要稳定输出5A电流,你应该选择一个标称8A的芯片,而不是一个标称5A的芯片。这就是数据手册中"5A"这个数字背后,最容易掉的坑。







