【经验泣血分享】遇到 nV的信号链需求快跑就对了!

聊起来精密信号链,除了现行的高端仪器,通常给出来是极其离谱(反正也不知道能不能做出来,得花多少钱)。

精密电路其实是有条分界线的,在接近物理极限的时候,已经不是器件底子可以主导的了;而是系统架构,以及环境变量影响了,那今天这个文章就给出一些直觉的指标(快速和不靠谱的需求说:NO!!!)

先看一个指标,看看帅气的你能不能分辨出来:


这里只看精度,10μV;我们把它当做绝对误差≤10μV(关键指标!),对应满量程(5V)的相对精度=10μV/5V=0.0002%(即2ppm)。

1 个赞

槽点出现,对系统指标不明确

我上面说当做了绝对误差看;先明确:“10μV精度”≠“输出噪声≤10μV”

10μV精度 :指系统的确定性误差上限 (如线性度误差、偏移误差、温漂误差等综合),即无论输出多少电压,实际值与理论值的偏差不超过±10μV(类似“标尺刻度不准的最大误差”);此时语境的噪声指输出信号上叠加的随机波动 (如热噪声、散粒噪声、电源纹波等),通常用“有效值(RMS)”或“峰峰值(Vpp)”衡量(类似“读数时的抖动”)。

如果敢标称“10μV精度”的信号源,必须同时满足两个条件:系统确定性误差≤10μV;以及输出噪声(RMS)远小于10μV(通常要求噪声RMS≤1μV,峰峰值≤5μV),否则噪声会“掩盖”精度,导致实际使用中无法分辨10μV的变化。

若输出噪声RMS=1μV(峰峰值≈6μV,按99.7%置信度),则总误差(精度10μV+噪声6μV)=16μV,仍在可接受范围;若噪声RMS=5μV(峰峰值≈30μV),则噪声已接近精度指标,实际使用中10μV的变化会被噪声“淹没”——因此厂家敢标10μV精度,必然已将噪声控制在远小于10μV的水平 (通常噪声RMS≤1μV)。

从单位入手

般来说 mV 不算精密,嘎嘎乱杀,mV 以下血流成河,当然 pV 这个也没有,这根本不能测量(相关性测量可以),所以我们的目标就是 uV 和 nV 的世界。
量程 = 仪器当前使用的测量档位

例如:

量程 含义
100 mV 最大测量约 ±0.1 V
1000 mV 最大测量约 ±1 V
10 V 最大测量约 ±10 V
100 V 最大测量约 ±100 V
1000 V 最大测量约 ±1000 V

注意: 实际最大显示通常 比量程大一点

最高分辨率(Resolution)

表示 最小可分辨电压变化

量程 分辨率
100 mV 10 nV
1000 mV 100 nV
10 V 1 µV
100 V 10 µV
1000 V 100 µV

这说明仪器内部 ADC + 数字滤波能力。

测试精度(Accuracy)

格式:±(A% rdg + B)

其中:

符号 含义
rdg reading(读数)
A% rdg 按读数比例误差
B 固定误差

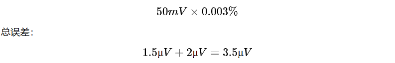
如:

±0.0030% rdg ± 2 µV

意思:

误差读数µ

举例

测量:

50 mV

计算:

比例误差:


所以真实值:

50 mV ± 3.5 µV

输入电阻(Input Resistance)

表示:仪器输入端的等效电阻 ;这影响:

负载效应

即仪器是否会 拉低被测信号

为什么低电压档输入阻抗更高

档位 AUTO输入阻抗
100 mV >10 GΩ
1000 mV >10 GΩ
10 V >10 GΩ
100 V 10 MΩ
1000 V 10 MΩ

低电压测量通常是高阻抗信号源;例如:传感器,精密基准,运放输出。

精密和超精密的分界点

µV(微伏)和 nV(纳伏)本质上只是电压单位的数量级不同;但在精密电子和测量系统里,它们代表的物理难度和工程难度差异非常大


虽然只是 1000 倍差,但在精密电路里:

量级 工程难度
µV 精密模拟设计
nV 极限低噪声设计

如果我们把1 V 比作一栋 1000 米高的大楼,那么:

单位 类比高度
1 mV 1 米
1 µV 1 毫米
1 nV 1 微米(细菌级)

可以看到nV 级信号几乎和材料、温度、接触电势同一个尺度,而且很多物理效应天然就在 nV 级:

热噪声(Johnson Noise)

公式:

这意味着一个普通电阻就有 nV 级噪声。

热电势(Thermoelectric EMF)

不同金属接触时,比如温差 1°C,可能产生:

1 µV,甚至几十 µV

也就是说轻轻摸一下电路都可能产生 µV,之前文章也写过表笔的建模,其实就是说的这个现象。

运算放大器噪声

超低噪声运放:

器件 噪声
A 0.85 nV/√Hz
B 0.9 nV/√Hz
C 1.1 nV/√Hz


真的用好不容易

这些已经是极限。

为什么数据手册都写 nV/√Hz

因为噪声是 功率谱密度 ,如:1 nV/√Hz

意思是在 1kHz 带宽:
image
所以nV/√Hz 的点噪声在积分后可能变成 µV,这就是为什么:µV系统必须关注 nV级噪声。

(我觉得这也是一种宣传的手段,没有谁的电路使用的是窄带,在一个大的区间,噪声都很大,当然初始小,之后噪声也会小不少)

系统要达到10 µV 精度;意味着:DAC,运放,参考源,温漂,PCB 热设计都要做到 ppm 级稳定性

小结

nV的精度几乎就是系统工程师的极限,一般没有充足的准备是不会涉及的;如果真要设计,那必须深刻理解每一个部件都系统的影响以及相关的规避手段。

<完>