在上一期文章中,我们分析了BUCK电路的电感电流,得出了一个反直觉的结论,在连续导通模式CCM下,BUCK电感的纹波电流大小与负载电流无关。
这个结论在BOOST电路里还适用吗?
相比于BUCK电路,BOOST电路的电感位于输入端,这导致它的电流特性更为复杂。只有彻底搞清平均值和纹波的计算逻辑,我们在进行电感选型饱和电流Isat和温升电流Irms时才不会翻车。
今天我们就来拆解BOOST电路的电感电流。
和BUCK电路一样,BOOST电路在连续导通模式CCM下,电感电流IL也是由两部分组成的:
1.平均直流分量IDC:这是电流的基准线。
2.交流纹波分量ΔI:这是直流分量上的锯齿波。
但在BOOST电路中,有一个核心区别必须时刻谨记:电感串联在输入端,而不是输出端,这意味着:
在BUCK中:电感平均电流=负载输出电流。
在BOOST中:电感平均电流=输入端电流(远大于负载电流)。
我们假设电路工作在CCM连续导通模式,且忽略效率损耗。
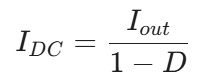
首先来计算电感电流的平均直流分量IDC
根据能量守恒定律,输入功率等于输出功率:


结论1:在BOOST电路中,电感承受的平均电流大于负载电流。负载电流Iout越大,电感的直流分量IDC确实越大。
接下来我们计算交流纹波ΔI
这是最容易产生误解的地方。纹波ΔI是指开关周期内电流波形的峰峰值。
我们利用电感电压公式V = L*dI / dt来推导。
当开关管MOSFET导通时:输出二极管截止,电感右端接地。此时电感两端的电压等与输入电压Vin。持续时间:ton =D/f

代入后得:

结论2:你会发现一个有趣的现象,上面的公式里压根没有负载电流!
只要输入电压Vin、输出电压Vout(它决定了占空比 D)、电感量L和频率f固定,无论负载电流是1A还是10A,电感的纹波电流ΔI都是固定不变的。
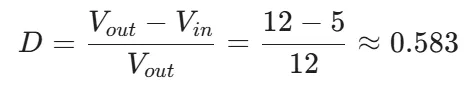
接下来来个实例分析;输入电压Vin=5V
输出电压Vout=12V
电感值L=10μH
开关频率f=100kHz
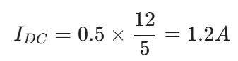
工况A:负载电流Iout=0.5A
工况B:负载电流Iout=2A
第一步:计算占空比D
无论负载大小,稳压状态下占空比基本固定:

第二步:计算纹波电流ΔI代入纹波公式:

注意:工况A(0.5A负载)和工况B(2A负载)的纹波电流都是2.92A。
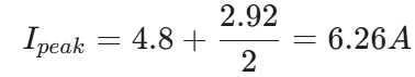
第三步:计算电感峰值电流
Ipeak峰值电流=直流分量+纹波的一半。
工况A(Iout = 0.5A):


工况B(Iout = 2A):








