【个人经验分享】同频不同相/不同幅值的正弦波叠加会产生非正弦波吗?

之前我分享过个傅里叶变换的学习分享贴https://forum.monolithicpower.cn/t/topic/6396/11

通过学习傅里叶变换我们知道,任何波形都可以由无数正弦波叠加而成,例如下图,我们用正弦波叠加出一个方波的“雏形”。

1 个赞

那么如果使用相同频率,不同相位/不同幅值的正弦波叠加会不会产生非正弦波的波形呢?

答案:不会只要频率一样,无论是改变相位还是改变幅值,最终叠加的波形还是正弦波。

相同频率正弦波叠加情况下,正弦波相位的不同,会导致最终合成的正弦波波形的幅值有可能增大,也可能减小,大致如下图,相位相差0°,幅值相加;相位相差180度,幅值相减,这个还是蛮好理解的:

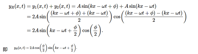
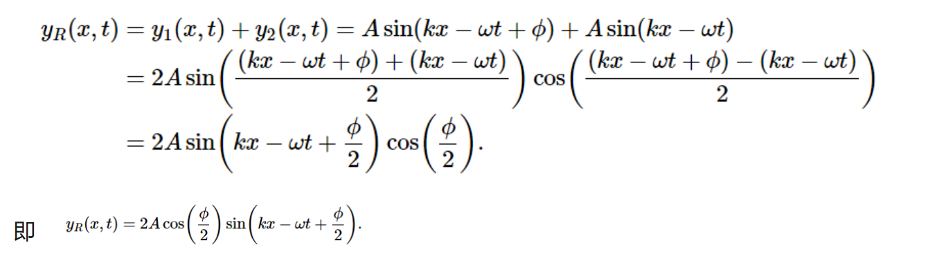
那么如果相位不是0°和180°而是其他的呢?其实我们早已学过这个结论,第一次接触的时候,应该还是在上高中,三角函数的和差化积公式

这个公式很好的诠释了最后生成的波形的样子,按照这个来实际数学推导也可以得到这个结论:

所以说,相同频率的正弦波叠加,最终产生的波形还是正弦波。

例如如下仿真,两个正弦波,下图的V1和V2,频率相同(均为1khz),相位不相同(相差45°)和幅值不相同(2V和3V),叠加到一起,最终得到的还是正弦波。(V3作为V2的参考)最终合成的波形是蓝色的正弦波,频率仍然是1khz,幅值为4.6V,相位为17°左右。

下图是对输出波形进行傅里叶变换后得到的结果,也可以清楚的看到其输出正弦波的幅值以及相位。

同样,也可以使用向量的思想去思考这个问题,就比如幅值均为1V,相位相差120°的正弦波,可以用如下图去分析:

通过仿真也可以验证结论是正确的: